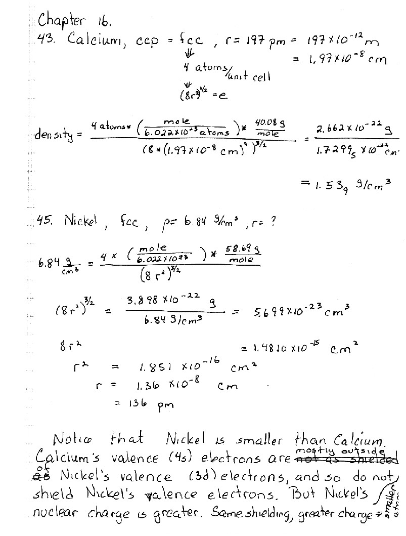
Solutions

January 26

These are currently posted on the bulletin board outside my office.  They will be available on this page as early tomorrow as possible.  Meanwhile, you can check your answers by comparing with those presented in the back of the textbook.

jan26pg1.jpg

26Janpg2.jpg