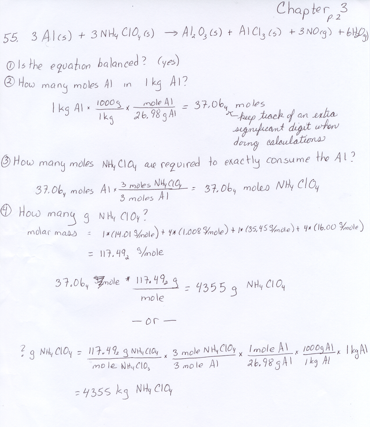
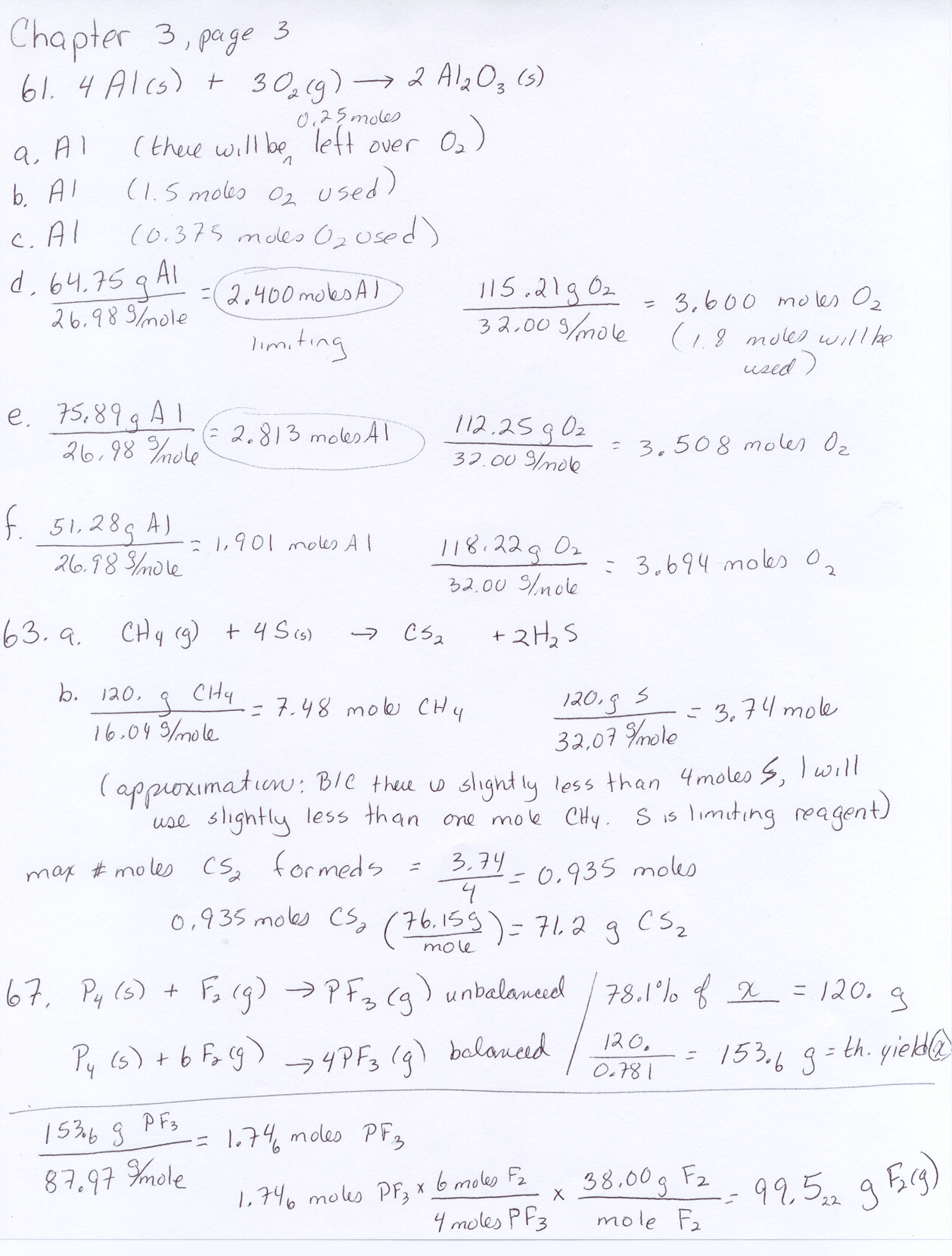
Homework Solutions

September 16